移动电话的天气预报,为什么只有 15 天?
巴黎奥运会的开幕式,小伙伴们都看过吧。
给老狐印象最深的,不是央视解说干沉默的大胆画面,也不是辣眼的蓝精灵,而是影响现场表演效果的雨。

也许许多人不知道,现在, 16 几年前的北京奥运会,原来天气预报有雨,通过人工消雨,保证了北京奥运会的精彩表演。
毫无疑问,天气预报对人们生产生活的影响。
从更大的角度来看,它影响了农业和工业的生产和活动组织。农民安排农业和公司生产,包括奥运会开幕式等重要活动,天气预报起着至关重要的指导作用。
从小到大,天气预报决定了老狐工作穿的是足力健还是洞鞋。
由于天气如此重要,电视上的天气预报就成了很多人每天都要看的电视节目,《渔舟唱晚》 BGM,这是许多人共同的记忆。
不知大家有没有注意到,央视天气预报,预测天气只有明后两天的消息。
无论是手机自带插件还是第三方,天气预报都会持续更长时间。 App 上面,全部提供 15 天内信息,iOS 这是个例外,只有 10 天。
但是,如果你想提高预测时间,受到混沌理论的限制,就很难准确。虽然安卓手机有, 90 天空的预测,但也是以十天为基准,没有更详细的天气变化。
01
气象学家难道不能更长时间准确地预测天气吗?
去年,《自然》杂志上出现了一篇关于华为盘古气候大模型预测天气精度较高的论文。不久前,谷歌的天气预报模型 Neural GCMs 还出现在《自然》杂志上,使用 AI 目前预测天气是一条非常火爆的跑道。
要准确预测天气变化的需要,古人就有,他们没有精确的仪器测量,而是搞玄学。
对于出土的殷商甲骨文,记录了古代人通过占卦来预测天气,这是目前关于天气预报的最早记载。

想象一下,这肯定是不可靠的。此后,古代人通过观察各种现象,学习经验,找出天气变化的趋势。
祖先们也留下了很多谚语,帮助我们预测天气,比如天上的钩云,地上的雨淋淋的;或者雨后东风大,来日雨下;喜鹊的枝头尖叫,晴天出门等等。
通过大量的观察,从经验中获得规律性,在一定程度上也可以称为统计预测法,但这种方法缺乏理论依据,不能满足科学发展的需要。
就像人们建造房屋一样,如果缺乏科学的数据,凭感觉建造,建造两三层楼也许没有问题,但是建造高层建筑也许是危房。
02
挪威科学家威廉·皮叶克尼斯是现代气象学发展的关键人物。 1905 2008年,我们提出了用数学思想来描述大气运动的状态,并给出了大气运动的方程,打开了现代气候研究的大门。
1910年,威廉·皮叶克尼斯开始在天气图上绘制流线。通过收集到的路面和高空观测数据,他提出了中纬度气流发展的气流模型和极锋理论,如下图所示。这构成了一个完整的系统,包括天气理论、天气图分析和预测模式。

这里有一个重要的天气预报方法,就是天气图预报方法。这种方法是基于天气系统的演变历史,结合物理、气象学和个人经验,通过预报员使用天气图等各种图表来预测天气的下一步变化。
但目前的天气预报并未采用天气图预报法,而是采用了数值天气预报法。
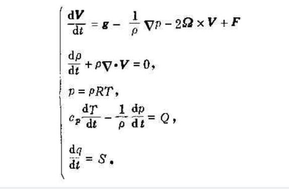
如前所述,威廉·皮叶克尼斯提供了原始的大气运动方程,这也是数值天气预报的基础。
大气运动方程包括运动方程、连续方程、热学方程、水蒸气方程和状态方程。

所谓数值天气预报,就是解方程组,根据已知的大气温度、湿度、压力等初始条件,计算出未来大气温度、湿度、压力等数据。
每个人都不要慌张,老狐并不想教大家解决这个方程,只要知道有这样的方程。
解决这个方程有多难?英国科学家理查森 1910 每年都试图用这个方程组来计算。 6 由于当时数据处理不当,导致一小时内某个地方的气压变化,导致结果错误。
如果你想预测全球天气变化,根据理查森的假设,在一个模仿地球的巨大球形建筑中,地球被划分为许多小区域。每个人负责计算一个区域的天气变化,总共需要 64000 人。

后来有人指出理查森又犯了一个错误,并且改变了真正需要的计算人数。—— 204800 人。
直到 1950 2008年,气象学家查尼使用了世界上第一台计算机。 ENIAC 第一个与实际情况一致的数值预测结果被成功模拟,他预测是 24 小时后的天气预报,计算步骤正好也花光了 24 个小时。
听起来很忙,但这意味着数字天气预测可以商业化,这是极其重要的。就像你刚毕业工作,月薪刚好够付房租和伙食,但对你来说,这才是真正单独的开始。
03
今天的数值天气预报,气象数据更精细,也更全面,以我们国家为例,一年前,我们国家共有。 7 大气本底站,27 一个气候观象台,靠近 7 1200万个路面自动气象观察站 2422高空气候观察站 部门新一代天气雷达, 7 一颗在轨运行的风云气象卫星。
*全球影像的风云卫星
因此,今天的天气预报不仅包括温度、压力和湿度,还包括冰雹和龙卷风等局部恶劣天气,可以预测可见性、雷击和台风的方向。
大量的数据只能依靠最先进的超级计算机。就像中国以前的天河一号一样,神威计算机在气候研究中发挥了重要作用。
数值天气预报现在是欧洲中期天气预报中心的领先机构,也就是华为盘古气候模型论文中经常提到的。 ECMWF。
*天气预报图ECMWF
首先解释一下这里的“中期”:0-12 天气预报在一小时内被称为短期天气预报, 天气以内称为短期天气预报,4-10。 天气是中期天气预报。
下图是 ECMWF 预测水平在半标准大气压高度(海拔约5500m)上的演变,粗线为北半球,细线为南半球。 天、5 天和 7 天空的预测水平都有了明显的提高, 10 目前,天气预报只能说具有一定的参考价值。
所以手机的天气预报 App,只提供最长的 15 天气信息,数值天气预测的有效性,限制在中期这一时间尺度。
数值天气预报的核心思想可以算是“机械理论”。机械理论认为,只要掌握了大自然所有组成部分的位置关系,就可以计算和总结所有物质的运动。
然而,气象学家洛伦兹后来发现,大气运动存在混乱现象,限制了天气预报的准确性。
大气系统是一个非常复杂的线性系统,对各种偏差极其敏感。计算过程中应不断放大观察到的数据、方法的初始化和计算精度的微小偏差。
洛伦兹对混沌现象的更著名解释是“蝴蝶效应”——一只蝴蝶在南美洲扇动翅膀,可能会导致美国德克萨斯州的龙卷风。
04
而且现在正如火如荼的发展 AI 天气预报,能否消除混乱现象的影响?AI 没有清除,而是想办法绕过这个坑。
概念模型不同于数值天气预测的基础,AI 天气预报是一种统计预测方法,通过对过去大量全面充分的天气数据样本进行分类总结,整理出规律。从逻辑上讲,其实和古人总结天气经验很像。
只是想要总结大量的数据,把这份工作交给他们。 AI,资料越多,预测结果就越准确。
比如盘古大模型,利用欧洲中期天气预报中心 1979 到 2017 这 39 练习年度测量的气象数据,然后使用 2019 年度气象数据进行验证, 2018 检测年度气象数据。
测试数据显示,盘古气候大模型在七天内预测的每个天气变量的均方根误差低于中期欧洲天气预报中心的综合预报系统。 比高通高10% AI 模型 FourCastNet 略低 30%。
就台风轨迹预报而言,论文使用 2018 年 25 号和 26 数字台风进行了比较,数据显示,盘古气候模型具有明显的优势。
欧洲中期天气预报中心在官网的一篇文章中为自己辩论,以另一个台风为例,意思是我们两个的预测轨迹都很接近,但是你们中心的风速预测没有我准确。
这篇文章也是对的 AI 气候预测得到了肯定,但在这里你会发现,FourCastNet 再次出现,随后,其表现直接被忽视。
FourCastNet 作为 AI 预言天气的前辈,被后浪拍死在沙滩上。
谷歌最新的谷歌不同于华为盘古气候模型。 Nueral GCMs 它是一个混合模型,核心分为两部分。一部分是动力学方程模拟大气运动过程中的流体力学和热学,就像数值天气预测一样。另一部分是机器学习,一些不能用数学原理模拟的过程是通过神经网络解决的。
但是,在更长的时间范围内,比如 10-15 在天气预测效果方面,盘古大模型并未提及,论文中提到了另一种国产伏羲气候大模型。 15 天空的预测性能接近欧洲中期天气预测中心。

AI 天气预报,尤其是大型天气预报的另一个优点是节能。
经过大量训练的盘古气候模型,可以在 10 在几秒钟内完成世界 7 天气重要元素预报,处理速度快于数值天气预报。 10000 倍以上。
超级计算机用于数值天气预报,每小时用电量超过 2 万度,相当于一个小城镇的用电量。

人工智能在天气预报方面已经显示出巨大的潜力,但并不是为了淘汰传统的数值天气预报。未来两种模式更有可能并存,比如谷歌。 Nueral GCMs 这样,两种模式的合作,相互补充。
如果未来能进一步提高天气预报的准确性和预测水平,准确预测暴雨、龙卷风、冰雹等破坏性天气,有足够的时间为灾难做好充分的准备,那么生命和资产的损失就会大大减少,这也是无数气候科学家的目标。
老狐期待着这一天的到来。
参考资料:
河南日报:3000多年前的“天气预报”,商人如何“占卦”?
浙江天气网:浅谈天气谚语
中国科技创新:天气预报实际上是这样“计算”的
徐小涛:从概念模型到智能分析-降低天气预报不确定性的新探索
钱维宏杜钧:天气预报的三次跃进
《nature》:Accurate medium-range global weather forecasting with 3D neural networks
《nature》:Neural general circulation models for weather and climate
ECMWF:The rise of machine learning in weather forecasting
中国国防报告:超级计算机性能知道多少?
本文来自微信微信官方账号“科技狐”(ID:kejihutv),作者:老狐,36氪经授权发布。
本文仅代表作者观点,版权归原创者所有,如需转载请在文中注明来源及作者名字。
免责声明:本文系转载编辑文章,仅作分享之用。如分享内容、图片侵犯到您的版权或非授权发布,请及时与我们联系进行审核处理或删除,您可以发送材料至邮箱:service@tojoy.com




