上海2025年高招体育专业统考成绩及合格线公布。
据市教育考试院介绍,2025年上海市高校招生体育专业统一考试成绩和合格线已经公布。考生可登录上海市教育考试院“上海招考热线”网站。(www.shmeea.edu.cn),单击首页查看“成绩查询”,查询体育专业统考成绩。
一
体育专业统一考试合格线
按照上海市教育考试院的规定,做好准备。<2025年上海市普通高校体育类专业考试招生实施办法>通知书(上海教育考院高招招生〔2025〕1号)相关规定经批准,2025年上海市普通高校体育专业统一招生考试可填报统一考试学校体育专业(含认可当地统一考试成绩的外省市学校)志愿合格线为:体能和重点技术总成绩不低于60分(总成绩为100分)。
四月八日(星期二)10:考生可以登录上海市教育考试院“上海招考热线”网站(www.shmeea.edu.cn),单击首页查看“成绩查询”,查询体育专业统考成绩。
二
成绩复核
考生在网上查询成绩后,如果对自己的成绩有疑问,可以在4月9日(星期三)9:00—20:00登录上海市教育考试院“上海招考热线”网站,凭14位高考报名号(或体育专业统一考试准考号)和身份证号后6位数(不含英文字母)。(www.shmeea.edu.cn),单击首页查看“成绩查询”,提交成绩审核申请。成绩审核仅限于核查是否存在加分错误、登分错误,不再进行评分。四月十一日(星期五):00起,考生可以登录“上海招聘热线”网站,点击首页查看“成绩查询”,查看成绩复核结果。
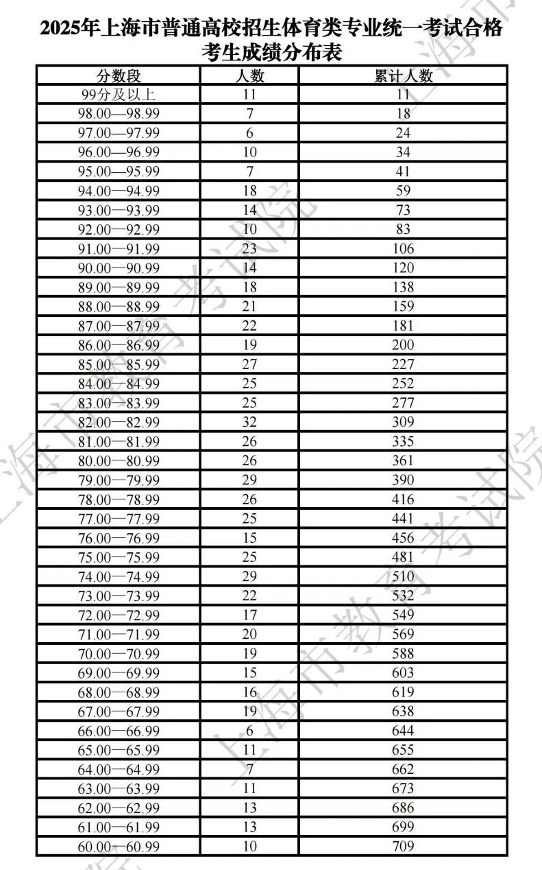
2025年高招体育专业统考合格考生成绩详细分布表↓

(点击查看大图)

可以点击文末“阅读原文”查看“2025年体育专业统考合格名单”。
原标题:《沪2025年高招体育专业统考成绩及合格线公布》
本文仅代表作者观点,版权归原创者所有,如需转载请在文中注明来源及作者名字。
免责声明:本文系转载编辑文章,仅作分享之用。如分享内容、图片侵犯到您的版权或非授权发布,请及时与我们联系进行审核处理或删除,您可以发送材料至邮箱:service@tojoy.com




