说出你和物理的“婚姻”,也就是有机会得到“物理大题典” | 周末留言赠书
下列文章来源于科学出版社 ,Science作者 Press
科学出版社.
传播科学,创造未来。
怎样才能爱上物理?也许从了解物理开始吧!
参加文章后留言互动,说出你对物理的热爱,也就是有机会在《物理大题典》中获得一本书哦~
“物理大问题典”是一套大型工具性、综合性的物理问题。本书内容包括综合本科物理课程的内容:从普通物理的力学、热学、光学、电学、现代物理到“四大力学”,以及原子核物理、粒子物理、凝聚物理、等离子体物理、天体物理、激光物理、量子光学、量子信息等新颖内容。,重视物理,重视学科交叉,重视与科研相结合。
本系列可作为物理类本科生学习辅导用书、研究生入学考试参考书及各类高校物理教师的教学参考书。
做题避坑,一套就够了!
主编推荐
这个物理问题解释了整本书的大部分,新内容。题目主要来源于上世纪80年代李政道先生建议并主持的美国许多著名大学物理研究生入学考试题目,以及美国著名大学轮流出现的考试题目。全书全部题目由中国科技大学100多名学生解答,经近40名中国科技大学教师批准,经过20多年的考虑积累。整本书明显展现了美国科技文化的特色,体现了中国科学技术大学生做题的智慧和努力,体现了中国科学技术大学教师的坚持和水平,是中美物理教学交融的结晶。
全书特色
1
内容全面,覆盖面广。本书共10册,对应物理专业人才培养的所有基础核心理论课程,覆盖各课程知识点4500多题,具有很强的代表性。
2
选材理念符合教学改革精神。题目选自中国、美国、俄罗斯知名大学试题和CUSPEA试题,重视物理思维、学科交叉、科研结合。
3
编写团队强大,前后有中国科技大学数十名具有科研教学经验的老中青教授和数百名研究生,接力参与编写。
小编从中挑选一些内容介绍给大家,让我们一起来看看吧!
· 1 ·
力学(上、下册)(第二版)
上册:9787030583475
下册:9787030583468
强元棨 程稼夫 张鹏飞 编着
内容推荐
《力学(第二版)》的题目总数由原来的 413 道增扩为965道. 美国几所著名大学(包括普林斯顿大学)是原《力学》卷的主题, 麻省理工学院、哥伦比亚大学、加州大学伯克利分校、威斯康星大学、芝加哥大学、纽约州立大学布法罗校区等。 CUSPEA 考题。
《力学(第二版)》对原力学卷进行了大幅度的改写。增加的题目来源于强元的《经典力学》(科学出版社,2003)上下册的所有练习(其中很多都是从E中选出的.A.Desloge《Classical Mechanics》、周衍柏的《理论力学教程》等,部分是自拟的)。另外,还可以选择 D.A.Wells《Theory and Problems of Lagrangian Dynamics》、B.B.巴蒂金、И.И.托普蒂金《电力学习题集》、E.Г.维克斯坦的《电力学习题汇编》 R.高特里奥、W.萨文的“现代物理理论与习题”等。
《力学(第二版)》第一册:共8章包含质点运动学、质点与质点系动力学、振动与波、有心运动、刚体动力学与动力学、流体力学等700道题。
《力学(第二版)》第二册:共3章包含265道题,包括力学拉格朗日表达、有限多自由系统的小振动、力学哈密顿表达等。
典型例题
向下滑动查看
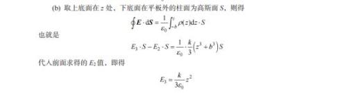
(2)天体运动中非常经典的题目,解法典型
(3)阻尼振动、相对运动和刚体运动的综合问题是综合性的。
· 2 ·
电磁电力学(第二版)
书号:9787030583482
刘金英 陈银华 张鹏飞 赵叔平
尤峻汉 胡友秋 茂达 朱俊杰
编着
内容推荐
主题来源是一些国际知名大学的试题和习题(包括哥伦比亚大学、加州大学伯克利分校、麻省理工学院、威斯康星大学、芝加哥大学、普林斯顿大学、纽约大学布法罗校区)。CUSPEA 试题,以及一些电磁电力学习题册(主要包括布朗大学资格考试试题,陈崇光、维克斯坦、巴蒂金、托普蒂金等),还有一些国内外电磁电力学的教材和参考书(作者分别是胡友秋、杰克逊、郭硕鸿等) .还有相当一部分问题是我们自己创造的。. 第二版对原题目和答案进行了全面的核查和优化,并增加了新的答案。 50 余道题目。
《电磁与电力学(第二版)》共6章包含静电学、静磁场和稳定磁场、电路分析、电磁波传播、电磁波辐射、磁场与介质相互作用等470个问题。
典型例题
向下滑动查看
(2)汤姆孙设备测量电子荷质比试验
· 3 ·
光(第二版)
书号:9787030582836
轩植华 白贵儒 郭光灿 编着
内容推荐
《光学》卷是《美国物理试题与解答·光学》的扩展篇,题目总数从原来的160题增加到本卷第一版的441题,第二版增加到446题,仍然分为几何光学、波动光学和量子光学三章,其中几何光学92题,波动光学干预66题,衍射117题,偏振64题,量子光学107题。. 题目主要来自一些国际知名大学的试题和习题(如哥伦比亚大学、加州大学、麻省理工学院、威斯康星大学、芝加哥大学、普林斯顿大学、纽约州立大学)、CUSPEA考试、丁肇中考试试题、一些练习册、光学教材和一些竞赛试题。也有少量的问题是自拟的.
《光学(第二版)》共3章包含几何光学、波动光学和量子光学446道题,其中干预、衍射和偏振是波动光学的内容。
典型例题
向下滑动查看
· 4 ·
相对物理(第二版)
书号:9787030587893
强元棨 张鹏飞 杨建明 杨保忠 宫竹芳
陈银华 尤峻汉 周又元 张家铝
编着
内容推荐
《相对论物理学》由第一版《力学》第12章狭义相对论力学、第六章《电磁与电动力学》第14章《原子亚原子与相对论物理学》第14章《高速颗粒动力学》第5篇相对论组成。张鹏飞和杨建明负责统一编辑,并对许多问题进行了检查和修改,其新增空间占30%以上。. 经南京大学鞠国兴教授认真学习后,提出了很多有价值的意见.
《相对论物理学》八章包括相对论时空和洛伦兹变换、狭义相对论动力学、相对论力学、相对论时空变换对称以及亚原子物理中相对论的应用、相对论电动力学、广义相对论和相对论宇宙学。
目前市场竞赛书中最全面、最适合相对论物理的题目之一。如果你想更透彻地理解相对论,你可以刷这本书。
典型例题
向下滑动查看
(2)宇宙双生子是假装的
参与留言互动,获得科学好书
在文章后面留言
说出你和物理的“婚姻”
还有你倾心的那本书
三位读者将被选中
每个人在“物理大题典”中赠送一本
开奖日期:
2024年8月18日(星期天)中午24日:00
领奖截止日期:
2024年8月19日(星期一)中午12:00
(消息区收到“恭喜中奖”的回复,将免费获得“物理大题典”中的一本。获胜者请在收到通知的获奖时间内将您的“名字” 电话 “快递地址”可以在原评论下方留言,隐私信息不会释放。如果在规定时间内没有回复,将被视为自动放弃领奖资格。欢迎以前参加过赠书活动的读者参加活动,尽管他们无法获得赠书。)
END
(本期编辑:王芳)
END
请点击以下“蓝字”标题查看更多精彩文章:
CALL FOR PAPERS|《物理与工程》征集量子世纪年乌云中的常数-4.14话h2024年全国高校物理基础课程教育学术研讨会 征文通知2024年全国高校物理基础课程教育学术研讨会 第二轮会议通知2023版《理工科大学物理课程教学基本要求》详细修订解读2023年中国大学物理教育MOOC联盟工作会议(扩大)和经典案例交流会议 2023年全国高校物理基础课程教育学术研讨会会议记录 会议记录2023 2008年全国高校物理基础课青年教师讲座大赛在喀什大学举办全国大学物理实验教学对口支持(智商援疆)研讨会,在新疆师范大学举办王青教授:了解王中林教授“拓展麦克斯韦方程组”和“碰瓷”麦克斯韦:伽利略协变和洛伦兹协变磁场论热点:运动介质洛伦兹协变电磁理论优秀论文、优秀审稿专家、优秀青年学者王青教授2021年《物理与工程》。清华电力学期末考试朱邦芬教授:《物理与工程》2023年第六期目录乐永康:新冠肺炎疫情防控下美国物理实验教学与中美情况对比顾牡:对重新制定的《非物理理工科大学物理课程教学基本要求》的理解和感受朱邦芬教授:从基础科学班到清华学校物理班朱邦芬教授:李学潜教授,探索培养一流的顶尖创新人才:物理是文化李学潜教授:如何帮助物理系的学生跨越从高三到大一的坎穆认知课程:穆良柱:什么是ETA物理认知模型?穆良柱:什么是ETA物理教学法?吴国祯教授:我对国外研究生的经历印象——应该写清华大学物理系的“基础班20年,学校班10年庆典”
21世纪,陈佳洱,赵凯华,王殖东,王亚愚教授,急需重建中国的工程物理教育:清华物理系本科人才培养理念与实践葛惟昆教授:安宇教授,关于中外人才培养的一些想法:为什么传统的课堂教学方式需要改变安宇教授:其实教学就是一个积累的过程。刘玉鑫教授:关于本科生物理基础课堂教学和教材,我编了一些关于沈乾若的想法:美加课程改革,重挫理科教学。 C:《物理与工程》期刊是美国研究基金支持的物理教育研究及其对高等物理教育的影响,是专注于物理教育教学研究的学术期刊,1981年出版的中国科技核心期刊,欢迎大家踊跃投稿,期刊投稿采编平台:
http://gkwl.cbpt.cnki.net
欢迎关注
微信微信官方账号“物理与工程”
继续滚动修改,阅读下一个轻触阅读原文。
物理学和工程向上滑动,看下一个
原题:“说出你与物理的“婚姻”,即有机会获得“物理大题典” | “周末留言赠书”
阅读原文
本文仅代表作者观点,版权归原创者所有,如需转载请在文中注明来源及作者名字。
免责声明:本文系转载编辑文章,仅作分享之用。如分享内容、图片侵犯到您的版权或非授权发布,请及时与我们联系进行审核处理或删除,您可以发送材料至邮箱:service@tojoy.com





